CAZypedia celebrates the life of Senior Curator Emeritus Harry Gilbert, a true giant in the field, who passed away in September 2025.


CAZypedia needs your help!

We have many unassigned pages in need of Authors and Responsible Curators. See a page that's out-of-date and just needs a touch-up? - You are also welcome to become a CAZypedian. Here's how.
Scientists at all career stages, including students, are welcome to contribute.
Learn more about CAZypedia's misson here and in this article. Totally new to the CAZy classification? Read this first.

Difference between revisions of "Glycoside Hydrolase Family 117"

From CAZypedia
Jump to navigation Jump to search
Line 34: Line 34:
 
== Kinetics and Mechanism ==
 
== Kinetics and Mechanism ==
 
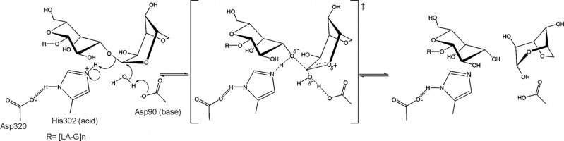
The stereochemical outcome of members of glycoside hydrolase family GH117 is still not determined experimentally. Nevertheless a mechanism based on the structure of an inactive mutant complexed to a neoagarobiose have been proposed <cite>Hehemann2012</cite> (Figure 2). In this unusual inverting catalytic mechanism an aspartic acid acting as the base and a histidine acting as the acid.
 
The stereochemical outcome of members of glycoside hydrolase family GH117 is still not determined experimentally. Nevertheless a mechanism based on the structure of an inactive mutant complexed to a neoagarobiose have been proposed <cite>Hehemann2012</cite> (Figure 2). In this unusual inverting catalytic mechanism an aspartic acid acting as the base and a histidine acting as the acid.
 +
 
[[File:gh117mechajan2012.jpg|800x200px|Proposed mechanism of α-1,3-L-(3,6-anhydro)-galactosidase. From <cite>Hehemann2012</cite>]]
 
[[File:gh117mechajan2012.jpg|800x200px|Proposed mechanism of α-1,3-L-(3,6-anhydro)-galactosidase. From <cite>Hehemann2012</cite>]]
 +
 
Two of the three 3D structures revealed the presence of a divalent cation, directly coordinated only by water molecules, close to the active site, which could activate the catalytic water molecule and provide the energy needed for the enzymatic reaction <cite>Rebuffet2011 Hehemann2012</cite>. Sequence alignments suggest that the enzymes of clades B and C do not bind zinc ions, which could be related to their difference in substrate specificity <cite>Rebuffet2011</cite>.
 
Two of the three 3D structures revealed the presence of a divalent cation, directly coordinated only by water molecules, close to the active site, which could activate the catalytic water molecule and provide the energy needed for the enzymatic reaction <cite>Rebuffet2011 Hehemann2012</cite>. Sequence alignments suggest that the enzymes of clades B and C do not bind zinc ions, which could be related to their difference in substrate specificity <cite>Rebuffet2011</cite>.
  

Revision as of 02:01, 25 June 2012

Approve icon-50px.png

This page has been approved by the Responsible Curator as essentially complete. CAZypedia is a living document, so further improvement of this page is still possible. If you would like to suggest an addition or correction, please contact the page's Responsible Curator directly by e-mail.


Glycoside Hydrolase Family GH117
Clan None
Mechanism Not known
Active site residues Not known
CAZy DB link
https://www.cazy.org/GH117.html


Substrate specificities

Figure 1: Phylogeny of GH117 family. From [1].

The only activity so far characterized within this recently discovered family of glycoside hydrolases is that of α-1,3-L-(3,6-anhydro)-galactosidase [1, 2, 3, 4]. Nevertheless phylogenetic analyses (Figure 1) of this family together with activity tests for another member, Zg3597 (Clade C), show that the family GH117 most probably is polyspecific [1].

Kinetics and Mechanism

The stereochemical outcome of members of glycoside hydrolase family GH117 is still not determined experimentally. Nevertheless a mechanism based on the structure of an inactive mutant complexed to a neoagarobiose have been proposed [4] (Figure 2). In this unusual inverting catalytic mechanism an aspartic acid acting as the base and a histidine acting as the acid.

Proposed mechanism of α-1,3-L-(3,6-anhydro)-galactosidase. From [4]

Two of the three 3D structures revealed the presence of a divalent cation, directly coordinated only by water molecules, close to the active site, which could activate the catalytic water molecule and provide the energy needed for the enzymatic reaction [1, 4]. Sequence alignments suggest that the enzymes of clades B and C do not bind zinc ions, which could be related to their difference in substrate specificity [1].

Catalytic Residues

From structural analysis and sequence alignments the catalytic residues have been predicted to be two of the three acidic residues Asp-97, Asp-252 and Glu-310 (Zg4663 numbering) [1].

Three-dimensional structures

At the moment two members of GH117 family have been crystallized. Both are enzymes from marine bacteria, one from Saccharophagus degradans [5] and one from Zobellia galactanivorans [1]. A crystal structure has only been reported for the α-1,3-L-(3,6-anhydro)-galactosidase (AhgA, Zg4663) from Z. galactanivorans (PDB: 3p2n) [1]. AhgA adopts a five-bladed β-propeller fold and forms a dimer via domain-swapping of the N-terminal HTH (Helix-Turn-Helix) domain (Figure 2) [1]. Interestingly, previous sequences reported from Vibrio sp. JT0107 and Bacillus sp. MK03 contain the conserved domain-swapping signature SxAxxR in the HTH domain. Consistently, these proteins were reported to form multimers (a dimer and an octamer respectively), based on calibrated gel filtration estimations [2, 3]. In contrast, RB13146 (Clade B) lacks the domain-swapping signature, in which the crucial residues are missing. This enzyme from R. baltica thus likely occurs as a monomer and may represent an ‘ancestral’ form of the GH117 family, which would be limited to the catalytic β-propeller domain [1].

Figure 2: Structure of the dimer of AghA. From [1].

Family Firsts

First stereochemistry determination
not determined yet.
First catalytic nucleophile identification
not determined yet.
First general acid/base residue identification
not determined yet.
First 3-D structure
The first 3D structure was reported in 2011 for an α-1,3-L-(3,6-anhydro)-galactosidase (AhgA or Zg4663) from the marine bacteria Zobellia galactanivorans, PDB: 3p2n [1].

References

  1. Rebuffet E, Groisillier A, Thompson A, Jeudy A, Barbeyron T, Czjzek M, and Michel G. (2011). Discovery and structural characterization of a novel glycosidase family of marine origin. Environ Microbiol. 2011;13(5):1253-70. DOI:10.1111/j.1462-2920.2011.02426.x | PubMed ID:21332624 [Rebuffet2011]
  2. Sugano Y, Kodama H, Terada I, Yamazaki Y, and Noma M. (1994). Purification and characterization of a novel enzyme, alpha-neoagarooligosaccharide hydrolase (alpha-NAOS hydrolase), from a marine bacterium, Vibrio sp. strain JT0107. J Bacteriol. 1994;176(22):6812-8. DOI:10.1128/jb.176.22.6812-6818.1994 | PubMed ID:7961439 [Sugano1994]
  3. Suzuki H, Sawai Y, Suzuki T, and Kawai K. (2002). Purification and characterization of an extracellular alpha-neoagarooligosaccharide hydrolase from Bacillus sp. MK03. J Biosci Bioeng. 2002;93(5):456-63. DOI:10.1016/s1389-1723(02)80092-5 | PubMed ID:16233232 [Suzuki2002]
  4. Lee S, Lee JY, Ha SC, Jung J, Shin DH, Kim KH, and Choi IG. (2009). Crystallization and preliminary X-ray analysis of neoagarobiose hydrolase from Saccharophagus degradans 2-40. Acta Crystallogr Sect F Struct Biol Cryst Commun. 2009;65(Pt 12):1299-301. DOI:10.1107/S174430910904603X | PubMed ID:20054134 [Lee2009]

All Medline abstracts: PubMed