CAZypedia celebrates the life of Senior Curator Emeritus Harry Gilbert, a true giant in the field, who passed away in September 2025.
CAZypedia needs your help!
We have many unassigned pages in need of Authors and Responsible Curators. See a page that's out-of-date and just needs a touch-up? - You are also welcome to become a CAZypedian. Here's how.
Scientists at all career stages, including students, are welcome to contribute.
Learn more about CAZypedia's misson here and in this article. Totally new to the CAZy classification? Read this first.
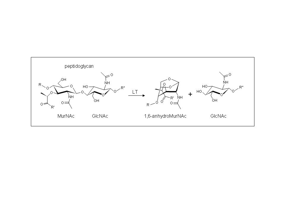
Difference between revisions of "File:LTreaction.jpg"
Jump to navigation
Jump to search
(uploaded a new version of "File:LTreaction.jpg") |
|
(No difference)
| |
Latest revision as of 09:37, 21 February 2010
File history
Click on a date/time to view the file as it appeared at that time.
| Date/Time | Thumbnail | Dimensions | User | Comment | |
|---|---|---|---|---|---|
| current | 09:37, 21 February 2010 | 754 × 234 (42 KB) | Anthony Clarke (talk | contribs) | ||
| 14:26, 19 February 2010 | 960 × 720 (27 KB) | Anthony Clarke (talk | contribs) |
You cannot overwrite this file.
File usage
The following 3 pages use this file: