CAZypedia celebrates the life of Senior Curator Emeritus Harry Gilbert, a true giant in the field, who passed away in September 2025.
CAZypedia needs your help!
We have many unassigned pages in need of Authors and Responsible Curators. See a page that's out-of-date and just needs a touch-up? - You are also welcome to become a CAZypedian. Here's how.
Scientists at all career stages, including students, are welcome to contribute.
Learn more about CAZypedia's misson here and in this article. Totally new to the CAZy classification? Read this first.
Uploads by Spencer Williams
Jump to navigation
Jump to search
This special page shows all uploaded files.
| Date | Name | Thumbnail | Size | Description | Versions |
|---|---|---|---|---|---|
| 05:12, 23 August 2008 | GHs.gif (file) | 2 KB | Generic reaction catalyzed by glycoside hydrolases. | 1 | |
| 05:30, 23 August 2008 | Exo endo.gif (file) | 3 KB | generic illustration of exo and endo | 1 | |
| 04:26, 9 July 2009 | Inverting.png (file) | 3 KB | generic inverting mechanism | 1 | |
| 04:27, 9 July 2009 | Retaining.png (file) | 3 KB | Generic retaining glycoside hydrolase | 1 | |
| 04:41, 9 July 2009 | Retaining&Inverting.png (file) | 5 KB | 1 | ||
| 04:34, 14 July 2009 | Retaining glycosidase mechanism 1.png (file) | 16 KB | 1 | ||
| 03:03, 29 September 2009 | Inverting a-glycoside phosphorylase mechanism.png (file) | 5 KB | 1 | ||
| 14:26, 22 October 2009 | Xylanase.png (file) | 6 KB | 1 | ||
| 20:49, 15 August 2010 | 2OLV.pdb (file) | 899 KB | 1 | ||
| 03:26, 9 January 2012 | 4ad4.pdb (file) | 262 KB | Bacillus xylanisolvens GH99 complex with Glc-1,3-isofagomine and 1,2-mannobiose | 1 | |
| 03:29, 9 January 2012 | 4ad1.pdb (file) | 263 KB | Bacillus xylanisolvens GH99 native structure | 1 | |
| 18:06, 9 January 2012 | GH99 mechanisms.png (file) | 35 KB | possible mechanisms for GH99 | 1 | |
| 14:37, 19 November 2012 | UDPGlc.svg (file) | 16 KB | 1 | ||
| 14:37, 19 November 2012 | UDPGal.svg (file) | 16 KB | 1 | ||
| 14:38, 19 November 2012 | UDPXyl.svg (file) | 15 KB | 1 | ||
| 14:43, 19 November 2012 | UDPGal.png (file) | 22 KB | 1 | ||
| 14:45, 19 November 2012 | UDPGlc.png (file) | 22 KB | 1 | ||
| 14:45, 19 November 2012 | UDPXyl.png (file) | 21 KB | 1 | ||
| 14:56, 19 November 2012 | UDPGalf.png (file) | 22 KB | 1 | ||
| 14:56, 19 November 2012 | UDPGlcNAc.png (file) | 23 KB | 1 | ||
| 14:56, 19 November 2012 | UDPGalNAc.png (file) | 23 KB | 1 | ||
| 14:56, 19 November 2012 | UDPGlcA.png (file) | 23 KB | 1 | ||
| 15:32, 19 November 2012 | CMPKdo.png (file) | 23 KB | 1 | ||
| 15:32, 19 November 2012 | CMPNeu5Ac.png (file) | 26 KB | 1 | ||
| 15:41, 19 November 2012 | DPMan.png (file) | 20 KB | 1 | ||
| 15:41, 19 November 2012 | PPAra.png (file) | 18 KB | 1 | ||
| 15:44, 19 November 2012 | DolGlc3Man9GlcNAc2.png (file) | 173 KB | 1 | ||
| 14:34, 2 December 2012 | Oxazolinium ion.png (file) | 38 KB | 1 | ||
| 15:37, 15 January 2013 | 1FO2.pdb (file) | 372 KB | [[]] | 1 | |
| 15:37, 15 January 2013 | 1FMI.pdb (file) | 367 KB | 1 | ||
| 22:52, 22 January 2013 | D-L sugars.svg (file) | 35 KB | 1 | ||
| 20:08, 11 February 2013 | A-glucan lyase.svg (file) | 21 KB | 21 | ||
| 20:11, 11 February 2013 | Oxocarbenium.svg (file) | 9 KB | 1 | ||
| 14:30, 4 April 2013 | Transglycosylation.svg (file) | 22 KB | 1 | ||
| 21:25, 14 April 2013 | A-glucan lyase mechanism.png (file) | 123 KB | 2 | ||
| 21:25, 14 April 2013 | A-glucan lyase.png (file) | 31 KB | 3 | ||
| 23:30, 26 April 2013 | GDPMan.png (file) | 40 KB | 2 | ||
| 23:30, 26 April 2013 | GDPRha.png (file) | 41 KB | 2 | ||
| 04:48, 28 April 2013 | Exo endo.png (file) | 56 KB | 2 | ||
| 04:51, 28 April 2013 | GHs.png (file) | 24 KB | 2 | ||
| 04:53, 28 April 2013 | Retaining&inverting GH.png (file) | 95 KB | 1 | ||
| 05:04, 28 April 2013 | Inverting a-glucosidase mechanism.png (file) | 188 KB | 1 | ||
| 05:07, 28 April 2013 | Inverting glucosidase mechanism.png (file) | 188 KB | 3 | ||
| 15:42, 29 April 2013 | Retaining b-glucosidase mechanism.png (file) | 235 KB | 1 | ||
| 02:35, 30 April 2013 | Retaining glycosidase mechanism.png (file) | 333 KB | 10 | ||
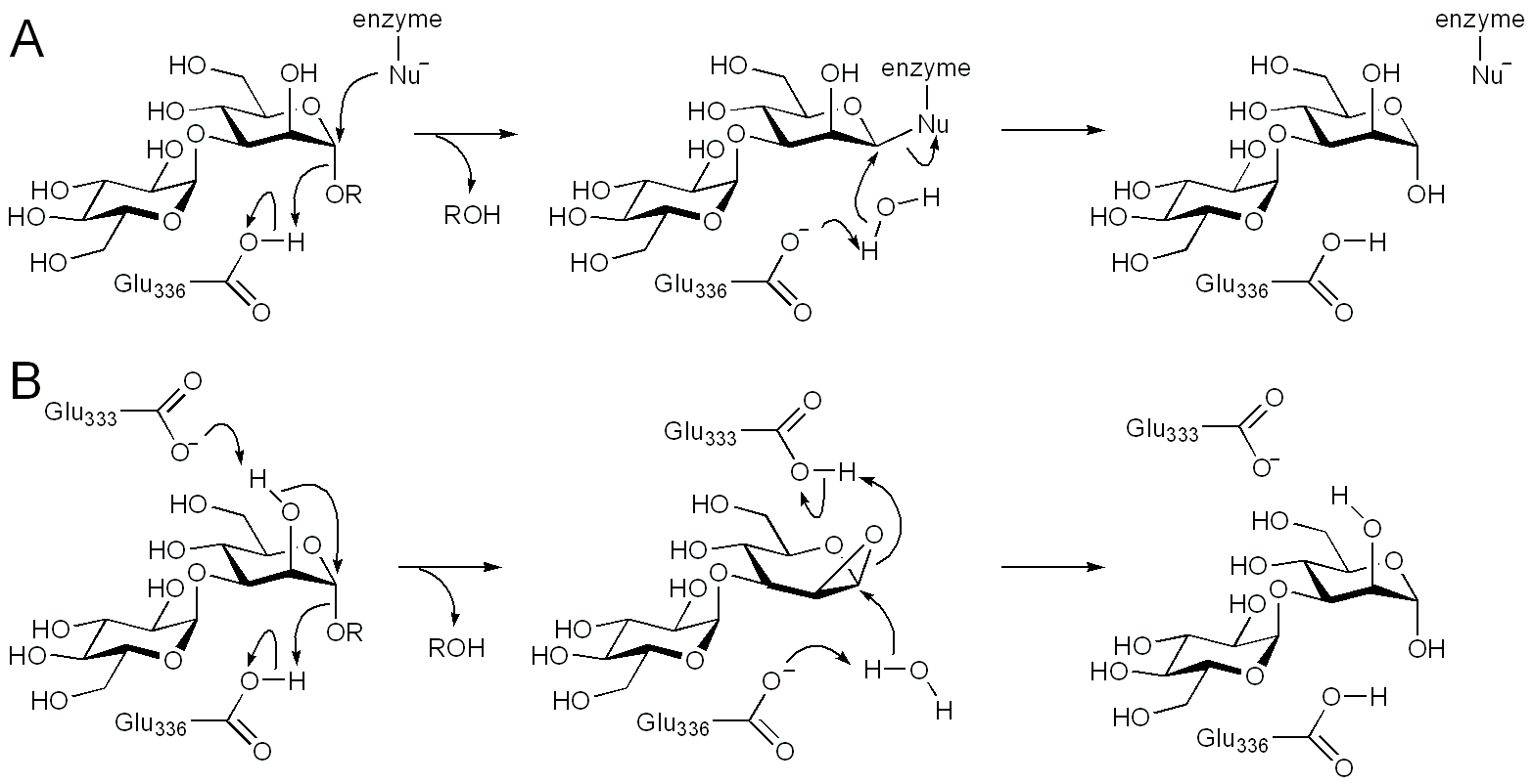
| 02:37, 30 April 2013 | Hex neighboring mechanism.png (file) | 191 KB | 2 | ||
| 02:38, 30 April 2013 | Myrosinase.png (file) | 164 KB | 2 | ||
| 02:40, 30 April 2013 | Family 4 mechanism.png (file) | 239 KB | 2 | ||
| 02:40, 30 April 2013 | Sialidase mechanism.png (file) | 264 KB | 3 | ||
| 04:43, 30 April 2013 | D-L sugars.png (file) | 84 KB | 2 |